【摘要】采用平衡容器加差壓變送器的方式測量干熄焦鍋爐汽包液位時,差壓變送器的測量范圍及遷移量均按正常運行時工作壓力汽包內的飽和蒸汽密度和飽和水密度計算求得。實際上,從開工到正常運行,汽包壓力是從零逐漸達到設計壓力的,而汽包內的飽和蒸汽密度和飽和水密度隨壓力變化很大,因此,汽包水位的測量會產生很大的誤差,誤差隨壓力降低而越來越大。通過補償公式及線性回歸方程,提出對汽包水位測量的壓力補償方法,并在實踐中取得良好的效果。
干熄焦鍋爐是利用吸收紅焦顯熱的高溫循環氣體加熱產生額定參數蒸汽的特殊鍋爐。鍋爐汽包液位是干熄焦運行時的重要參數,液位過高影響蒸汽品質,液位過低容易引發安全事故,因此干熄焦鍋爐液位測量的準確性尤為重要。現大多數干熄焦鍋爐汽包液位采用雙室平衡容器加差壓變送器的方法測量。雙室平衡容器結構本身具有補償功能,但是在干熄焦開工初期,或是鍋爐沒有達到設計工況時,液位計測量出來的液位隨汽包壓力變化會與實際液位有較大偏差。采用密度補償公式能使液位計在不同的工況下都保證良好的精確度。
1 平衡容器液位測量原理

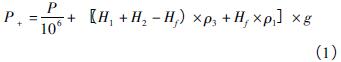
液位測量原理如圖1 所示。差壓變送器負壓側產生的壓力為,凝汽室靜壓與飽和水產生的壓力及環境溫度下的水產生的壓力之和。差壓變送器正壓側產生的壓力為,凝汽室靜壓與汽水分界面至基準杯口飽和蒸汽產生的壓力及連通器中飽和水產生的壓力之和。在干熄焦鍋爐正常運行時,負壓側產生的壓力為定值,正壓側產生的壓力隨連通器中飽和水高度的變化而變化。根據壓強公式P = Hρg 可知,測量出來的差壓即可轉換為液位高度。
差壓變送器正壓側壓力為:
微差壓變送器負壓側壓力為:![]()
式中: P +為平衡容器正壓側輸出壓力,Pa; P -為平衡容器負壓側輸出壓力; ρ2為環境溫度下水的密度,kg /m3 ; ρ3為飽和蒸汽密度,kg /m3 ;Hf為汽包中汽水分界面至連通器水平軸線之間的高度,m; g 為9. 8m/s2。
微差壓變送器測出的差壓ΔP:
工程設計時往往根據設計壓力查表得出ρ1、ρ2、ρ3,再代入( 3) 式計算出差壓ΔP 與液位的關系式。此種做法在鍋爐按設計壓力運行時液位是準確的。但是,從開工到設計壓力過程中( 0 ~ 11MPa) ,飽和蒸汽及飽和水的密度是變化的,據初步計算,飽和水密度最大偏差可達283kg /m3,飽和蒸汽密度最大偏差可達60kg /m3,液位( 0 ~ 0. 6m) 測量誤差最大可達0. 3m。當然,環境溫度下水的密度ρ2從開工到設計壓力變化不大,可看做常數。
開工初期,例如溫風干燥期間,鍋爐汽包壓力往往只有2. 5MPa 左右,再如蒸汽送發電時,管道吹掃期間,壓力為6 ~ 8MPa,此時的ρ1、ρ3是隨汽包壓力而變化的,即在不同汽包壓力下,ΔP 是一個變化值,ΔP 與液位的關系式也就不能滿足準確測量的要求。
2 誤差分析
下面以某干熄焦項目鍋爐為例,分析液位做壓力補償前后的誤差。該鍋爐H1 = 0. 2545m,H2 = 0. 2455m,將H1、H2代入式( 3) 得:
鍋爐汽包設計壓力為11MPa,查飽和蒸汽密度表可知: ρ1 = 675kg /m3,ρ2 = 1003kg /m3 ( 按20℃) ,ρ3 = 61kg /m3,Hf的變化范圍為0 ~0. 6m,代入式( 4 ) 得ΔPmax = - 187. 4Pa,ΔPmin = - 3797. 7Pa。微差壓變送器的量程設置為- 3797. 7 ~ - 187. 4Pa。控制系統做差壓與液位的對應關系為: - 3797. 7Pa 對應0m, -187. 4Pa 對應0. 6m。
高壓蒸汽管道吹掃期間,鍋爐汽包壓力為8. 5MPa,此時查飽和蒸汽密度表可知,ρ1 =716. 6kg /m3,ρ2 = 1002kg /m3 ( 按20℃) ,ρ3 =44. 6kg /m3。再代入式( 4 ) 得ΔPmax = -28. 08Pa,ΔPmin = - 3979. 4Pa。
當鍋爐汽包壓力為8. 5MPa 時,以實際液位Hf = 0. 1 為例,計算差壓ΔP = - 3320. 88Pa,控制系統仍然按照- 3797. 7 ~ - 187. 4Pa 的差壓計算的話,ΔP = - 3320. 88Pa 所對應的液位為H'f= 0. 079m,可知由壓力引起的誤差為0. 021m。此誤差會隨著壓力的降低越來越大,因此采用密度補償變得尤為重要。
3 密度補償及應用效果
3. 1 密度補償
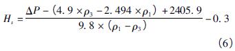
通過式( 4) 推導出此項目密度補償公式![]()
此項目以汽包中心線為液位計零點,因此得
式中: Hs為汽包中汽水分界面相對液位零點的高度,m。
由于ρ2為環境溫度下水的密度,它隨壓力變化非常小,可認為是常數,文中ρ2取1000kg /m3。從式( 6) 可知,Hs是隨ρ1、ρ3變化的函數,而ρ1、ρ3又是根據不同的壓力查飽和蒸汽密度表所得,由于補償公式要輸入控制系統,實時查表工程量比較大,工程中通過查表對ρ1、ρ3做出隨汽包壓力P變化的線性回歸方程如圖2、3 所示。圖2 飽和蒸汽密度隨汽包壓力變化的關系式
將線性方程ρ1 = - 18. 97P + 878. 6,ρ3 =5. 635P - 2. 791 代入( 6) 式可得液位高度隨差壓變送器測出的差壓ΔP 及鍋爐汽包壓力P 變化的函數。
![]()
將式( 7) 編進控制系統程序即可。


3. 2 應用效果
當鍋爐汽包壓力P = 8. 5MPa 時,以實際液位Hf = 0. 1 為例,計算差壓ΔP = - 3320. 88Pa,Hf = 0. 1m 是液位至連通器水平軸線的高度,轉化為以汽包中心為零液位的高度H's = - 0. 2m 。將P = 8. 5MPa、ΔP = - 3320. 88Pa 代入式( 7) 得

此式誤差為0. 0009m,相比不做補償的誤差0. 021m 已經減少了很多。文中線性回歸方程是從2MPa 開始的,線性擬合度相對較差,如果汽包壓力經常處于更高的壓力,設計時可根據需要,修改補償起始點,這樣測得結果誤差會更小。
4 結語
干熄焦鍋爐汽包壓力從開工到設計工況的過程變化很大,通過密度補償方法能提高液位計的適用范圍,有效提高測量精度。對某干熄焦鍋爐汽包液位進行測量,采用補償后測量準確度在1%以內,與就地液位計接近,滿足工藝生產及安全要求。